DPO - Direct Preference Optimization
Continue with another blog from Cameron and greate explanation and super easy to digest math details
1 Preference dataset
PD of prompts with an associated “chosen” and “rejected” response.
and it can be integrated in to Bradley-Terry model

2 DPO in LLM Training
The DPO is replacing RLHF in the LLM training workflow
The standard RFHF has a reward model within its objective function
- It uses explicit reward model
- Use PPO to train RL
But with DPO, we use - implicit reward model within the policy itsel
- indirectly derives the optimal policy from

Here is the loss function for DPO
This is actually very close to the loss function we used to train reward model
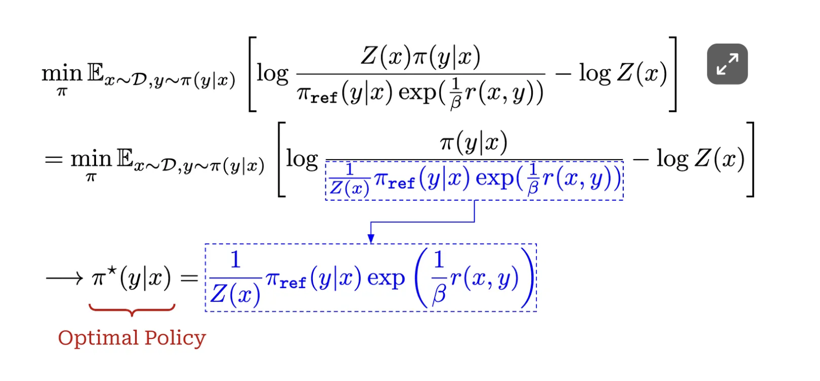
3 Derive of DPO
- Deriving an expression for the optimal policy in RLHF.
This step defines a partition function
and defines optimal policyas below
you can see that
- The value of the optimal policy is ≥ 0 for all possible completions y.
- The sum of the optimal policy across all completions y is equal to 1.
Further derivation shows that the policy being optimal policy can minimized the RLHF objective

- Deriving an implicit reward. Re-arrange the defination of optimal policy, we can get the implicti reward function
- Plug into Bradley-Terry modal
- Training an LLM to match this implicit preference model—this is what we are doing in the DPO training process.
