Flow and Diffusion models Lab 3 (Mac GPU and backup w pickle)
Diffusion Lab3, conditional generation
0 Python object backup with Pickle
To use GPU on Mac, use mps as the device value.
device = 'mps' if torch.backends.mps.is_available() else 'cpu'
The training of Unet took a while so I saved the trained weights with pickle
import pickle
with open("unet.pkl", "wb") as file:
# Use pickle.dump() to serialize the object and write it to the file
pickle.dump(unet, file)
and the saved unet.pkl file can be loaded by
with open('unet.pkl', 'rb') as file:
unet_reloaded = pickle.load(file)
1 MNIST
MNIST can be download online but torchvision.datasets download does NOT work no more.
So we can google and download, put under root folder data
# data is put ./data/MNIST/raw/t10k-images-idx3-ubyte etc
self.dataset = datasets.MNIST(
root='./data',
train=True,
download=False,
transform=transforms.Compose([
transforms.Resize((32, 32)),
transforms.ToTensor(),
transforms.Normalize((0.5,), (0.5,)),
])
)
And use Gaussian conditional probabily path, we can construct the MNIST from random noise
num_samples = num_rows * num_cols
z, _ = path.p_data.sample(num_samples)
z = z.view(-1, 1, 32, 32)
# Sample from conditional probability paths and graph
ts = torch.linspace(0, 1, num_timesteps).to(device)
for tidx, t in enumerate(ts):
tt = t.view(1,1,1,1).expand(num_samples, 1, 1, 1) # (num_samples, 1, 1, 1)
xt = path.sample_conditional_path(z, tt) # (num_samples, 1, 32, 32)
...

2 Classifier Free Guidance
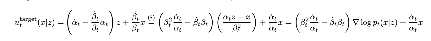
- Guidance Based on conditional on lable y, we can get the loss function for CFM \(\begin{align*}\mathcal{L}_{\text{CFM}}(\theta) &= \,\,\mathbb{E}_{\square} \lVert u_t^{\theta}(x|y) - u_t^{\text{ref}}(x|z)\rVert^2\\ \square &= z,y \sim p_{\text{data}}(z,y), x \sim p_t(x|z)\end{align*}\)
- Classifier Free
By algebra arrangement, we can get the relationship between vector field and score function
With this relationship, we can get following results with a Bayesian formula applied and knowing $\nabla \log p_t(y)=0$
We some rearrangement, we can get from classifer guidence and a weight to following conclusion
But we need to train 2 models, $u_t(x)$ and $u_t(x|y)$
Following trick can get only 1 model trained, which is classifer-free

3 Implementation
First we define the drift parameter according the CFG formula. Notice that we use 10 as the void class (valid class is 0-9)
class CFGVectorFieldODE(ODE):
def __init__(self, net: ConditionalVectorField, guidance_scale: float = 1.0):
self.net = net
self.guidance_scale = guidance_scale
def drift_coefficient(self, x: torch.Tensor, t: torch.Tensor, y: torch.Tensor) -> torch.Tensor:
"""
Args:
- x: (bs, c, h, w)
- t: (bs, 1, 1, 1)
- y: (bs,)
"""
guided_vector_field = self.net(x, t, y)
unguided_y = torch.ones_like(y) * 10
unguided_vector_field = self.net(x, t, unguided_y)
return (1 - self.guidance_scale) * unguided_vector_field + self.guidance_scale * guided_vector_field
The training part define loss based on \(\begin{align*}\mathcal{L}_{\text{CFM}}(\theta) &= \,\,\mathbb{E}_{\square} \lVert u_t^{\theta}(x|y) - u_t^{\text{ref}}(x|z)\rVert^2\\ \square &= z,y \sim p_{\text{data}}(z,y), x \sim p_t(x|z),\,\text{replace $y$ with $\varnothing$ with probability $\eta$}\end{align*}\)
- To sample an image $(z,y) \sim p_{\text{data}}$, use
self.path.p_data.sample - You can generate a mask corresponding to “probability $\eta$” via
mask = torch.rand(batch_size) < self.eta. - You can sample $t \sim \mathcal{U}[0,1]$ using
torch.rand(batch_size, 1, 1, 1). Don’t mix uptorch.randwithtorch.randn! - You can sample $x \sim p_t(x|z)$ using
self.path.sample_conditional_path.class CFGTrainer(Trainer): def __init__(self, path: GaussianConditionalProbabilityPath, model: ConditionalVectorField, eta: float, **kwargs): assert eta > 0 and eta < 1 super().__init__(model, **kwargs) self.eta = eta self.path = path def get_train_loss(self, batch_size: int) -> torch.Tensor: # Step 1: Sample z,y from p_data z, y = self.path.p_data.sample(batch_size) # (bs, c, h, w), (bs,1) # Step 2: Set each label to 10 (i.e., null) with probability eta xi = torch.rand(y.shape[0]).to(y.device) y[xi < self.eta] = 10.0 # Step 3: Sample t and x t = torch.rand(batch_size,1,1,1).to(z) # (bs, 1, 1, 1) x = self.path.sample_conditional_path(z,t) # (bs, 1, 32, 32) # Step 4: Regress and output loss ut_theta = self.model(x,t,y) # (bs, 1, 32, 32) ut_ref = self.path.conditional_vector_field(x,z,t) # (bs, 1, 32, 32) error = torch.einsum('bchw -> b', torch.square(ut_theta - ut_ref)) # (bs,) return torch.mean(error)
And here is the results after training. You can see that class 10 is getting random values

4 Unet structure
Skip this part